FAO Food Outlook - ноябрь 2025
08:00 — Справочники
09:00, 30.09.2025 — Мировые рынки, Зерновые, Корма
автор: Европейская комиссия

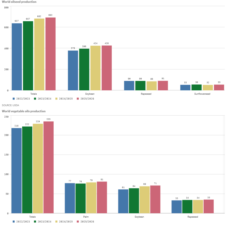
ЕС. Обзор рынка зерна и масличных на 26.09.25 г.



Обсуждение

Для того, чтобы оставить комментарий вам нужно зарегистрироваться или авторизоваться.
Последние публикации в разделе
FAO Food Outlook - ноябрь 2025
08:00 — Справочники

Подпишись в соц.сетях!
на 2025-11-10
Регион Закуп. Изм. Прод. Изм.
ЦФО
39900.00 + 1200 39000.00 + 0
ПФО
37800.00 + 0 38000.00 + 0
СКФО
41000.00 + 0 43000.00 + 1000
ЮФО
41000.00 + 0 42000.00 + 0
СФО
37000.00 + 0 38000.00 + 0
на 2025-11-10
Регион Закуп. Изм. Прод. Изм.
ЦФО
94500.00 + 0 95200.00 + 100
ЮФО
96500.00 + 0 97000.00 + 0
ПФО
95000.00 + 0 95600.00 + 0
СФО
93000.00 + 0 93500.00 + 0

Сводная таблица по зарубежным индексам

Сравнение котировок

Мировые балансы


Выберите регион
все страны и регионы